Дополнительные обозначения
Различают две категории:
- префикс;
- суффикс.
Начнем с приставки. Она находится перед цифровым кодом и составляется по правилам:
- запись начинается справа;
- отсутствующие позиции отбрасываются, а если совсем нечего писать в дополнении, то и тире, разделяющие части кодировки, не нужно.
Рассмотрим составляющие справа налево:
- Класс точности. К самым высоким относятся аббревиатуры «5», «4», «Т» и «2». Немного хуже – «0», «6», «6Х», остальные показывают, что показатель совсем плохой. Тогда можно признать изделие низкокачественным. Это происходит, когда соотношение всех элементов не точно выверено. Так как маркируются подшипники после их изготовления, то при найденной погрешности, указывается плохой префикс.
- Радиальный зазор. Классифицируется по шкале от 0 до 9, измеряется в десятых частях миллиметра и показывает расстояние между шариками, то есть между элементами качения. Оптимальными считаются срединные значения. Нормальный показатель может никак не отображаться в записи.
- Ряд момента трения. В основную, часто используемую группу входят – 1, 4 и 7. Остальные нужно сверять по документу РД ВНИПП.021-01.
- Категория А, В или С. Последняя – стандартная, она не имеет особенных требований, поэтому часто даже не указывается. А вот если вы имеете дело с А или В, то рядом будут проставлены цифровые значения, обозначающие класс.

Справа, в суффиксе, идет необязательная, но важная информация о дополнительных указаниях. Обычно она нужна тем, кто имеет дело с нестандартными моделями. Указывается кириллическими буквами. Запрос можно сделать в целой системе нормированных списков: ГОСТы 5721, 24696, 24850 и 7872.
Применяемость подшипников
 
Стоит более подробно остановиться на том, как обозначаются в таблицах подшипники. Обычно на каждом элементе для вращения написано что-то буквами и цифрами. Такие условные обозначения обозначают и диаметр в том числе. Насколько точно изготовлена деталь указывает буква, которая стоит перед цифрой.
Цифры указывают на размер отверстия, на то, что особенного есть в его конструкции, например, шариковые или роликовые формы тел. Обычно первые две цифры на детали для вращения указывают на диаметр. Но ведь даже диаметр может быть разный, поэтому стоит быть очень внимательными к цифрам.
Так, детали скольжения, которые необходимы для автомобильного строения, не очень строго относятся и к диаметру, и к тому, что используются шарики или ролики. Другое дело деталь для качения, где все должно быть строго инструкции.
Например, шариковая деталь скольжения широко применяется для изготовления запчастей автомобиля. Чтобы нагрузка в данном случае была больше, необходимо правильно использовать шарики. Стоит помнить, что желоб должен быть больше шарика. Кстати, шариковые детали позволяют их использование и под разными углами.
Но зато роликовые детали обеспечивают высокую скорость, которая необходима очень часто. Не стоит смешивать все типы подшипников, иначе потом при работе шарики будут мешать работе роликам и наоборот. Поэтому стоит следить за формой качения, если это шарик, то такую шариковую деталь необходимо использовать по назначению. В настоящее время шариковые детали для вращения используются намного чаще, чем все остальные.
Правила работы с подшипниками
 
Поэтому существуют специальные правила эксплуатации этой части, и к ним стоит отнестись очень серьезно, чтобы ваша деталь смогла проработать как можно дольше. Например, не стоит его перегружать и следить за тем, чтобы он работал лишь положенный временной отрезок, а не более. Еще одним правилом следует считать то, что его стоит подбирать такой, чтобы он идеально подходил по размеру, по диаметру и по другим техническим характеристикам.
Например, по размерам можно найти самые разные подшипники: от миниатюрных и до самых гигантских размеров. Есть и другое деление: высокоскоростные, тихоходные, максимально точные и другие. Все эти деления зависят от того, куда и как вы собираетесь использовать этот важный элемент вращающего движения.
Шарикоподшипники радиальные однорядные
Самая популярная разновидность подшипников качения. Часто используются в конструкциях самой разнообразной аппаратуры. В ее числе валики картонных машин, редукторы, электромоторы. Используются для противодействия радиальным нагрузкам, но могут быть готовы также к восприятию двусторонних осевых нагрузок. Часто их используют исключительно для осевых нагрузок, в особенности если число оборотов вала велико и упорные подшипники использовать нельзя. Если радиальный зазор увеличивается, то возможности осевой грузоподъемности подшипника также становятся больше, поскольку в этой ситуации подшипники обретают характеристики радиально-упорных. Возможна работа подшипников, в случае если относительный перекос внутреннего и наружного колец не больше 20°.
 
Конструктивные виды радиальных подшипников однорядных:
- имеющие одну защитную шайбу;
- имеющие две защитных шайбы;
- имеющие канавку на наружном кольце и установочное кольцо;
- имеющие установочное кольцо и защитную шайбу;
- имеющие одностороннее и двустороннее уплотнение;
- имеющие канавку для ввода шариков без сепаратора.
Преимущества и недостатки
 
Когда использован подшипник качения, улучшается качество смазки деталей и узлов машин, качество их обслуживания, продляется срок жизни посадочных поверхностей шеек цилиндров и валов. Таким образом, для подавляющего большинства опор оборудования они подходят наилучшим образом.
Правда, кроме преимуществ, подшипники качения имеют и ряд минусов.
 
Очень сложно правильно их подобрать, когда высокие скорости вращения сочетаются действием высоких нагрузок. Общеизвестно, что при увеличении нагрузки и скорости вращения узла снижается его долговечность. Допустим, если нагрузку увеличить на четверть по сравнению с прежней, то срок службы уменьшается в два раза, а при увеличении нагрузки в два раза, долговечность становится меньше в 10 раз.
Шарикоподшипники с канавкой для ввода шариков без сепаратора
Их отличие от прочих подшипников классической конструкции в наличии профрезерованных канавок в бортах колец. Через эти канавки происходит вставка шариков. Поскольку шариков такой подшипник качения имеет больше, чем сепараторный, это дает выигрыш в грузоподъемности. Их назначение – работа на небольших скоростях вращения из-за чрезмерного трения соприкасающихся тел качения. Там, где имеются осевые нагрузки, лучше отказаться от их применения, поскольку под их действием шарики часто смещаются по отношению к осям дорожек качения.
Как конструктивный вариант таких шарикоподшипников встречаются узлы, где есть и канавка для вставки шариков, и защитные шайбы.
Данные узлы используются без применения смазки в сушильных камерах и узлах, применяющих качательное движение.
Система обозначения по ГОСТ
Мы привели подробное объяснение про внутренний размер и условные обозначения подшипников качения. Но в маркировке шариковых деталей важную роль играет 2-я позиция записи – серия диаметров. Их проставляют согласно таблице:
| нулевая | |
| 7 | сверхлегкая | 
| 8 | сверхлегкая | 
| 9 | особо легкая | 
| 1 | особо легкая | 
| 2 | легкая | 
| 5 | легкая широкая | 
| 3 | средняя | 
| 6 | средняя широкая | 
| 4 | тяжелая | 
Но если нет указаний серии шин, то и здесь будет стоять 0. Дополнительные характеристики несут следующие знаки на этом месте:
- 7 – нестандартный внешний размер;
- 8 – неклассическая ширина;
- 9 – ненормализованный радиус внутренней окружности.
Но кроме основного ядра, согласно требованиям ГОСТ, есть также обозначения, приведенные в крайних правой и левой частях маркировки закрытых подшипников. Рассмотрим эти правила.

Что такое таблица и ее основные функции
Таблица рассматривается как специальный инструмент для подбора подшипников. В ней приведены общие данные о подшипниках разных типов, о тех или иных моделях. В список таблицы входят и импортные и российские запчасти. Это удобно тем, что в случае подбора определенного номера подшипника, в таблице будет отражаться абсолютный его аналог, отечественный или зарубежный.
Основные сведения, представленные в таблицы, это диаметр внешнего и внутреннего кольца, вес изделия, его ширина и номер. Все числовые показатели полностью соответствуют общепринятым стандартам, что исключает ошибки в процессе выбора типоразмера изделия по номеру.
Маркировка подшипников по размерам и номерам в зависимости от определения диаметра отверстия с таблицами
Есть 4 категории, согласно которым можно разделить все изделия, классифицировать их:
- 1D – менее десяти миллиметров.
- 2D – больше 10, но не более 20 мм.
- 3D – превыше двадцати вплоть до 499 мм.
- 4D – более 50 сантиметров.
Это разделение прописывает документ ГОСТ 3189-89. Посмотрим подробнее, в чем особенности нумерации.
Для первого диапазона
Самый простой вариант, тогда классическая картина совсем не нарушается. Это для самых небольших деталек – можно проставить цифру от 1 до 9 включительно. Соответственно, указываются только целые значения. Шагом является миллиметр. Если все так хорошо укладывается в правило, то просто записываем диаметр в начальную графу. Помним, что маркировку мы читаем справа налево, так что последнее место является для пользователя отсчетным – здесь и оказывается показатель.

Вторая ситуация, если мы имеем дробь. Сначала прибегаем к общим правилам округления, то есть если после запятой мы имеем 1, 2, 3 или 4, то смело отбрасываем их, а если от 5 до 9, то приписываем на единицу больше. Готовое округленное значение записываем в первую (то есть с конца) ячейку. Вторую заполняем условным обозначением «5» (это показывает, что было использовано дробное число), а третью – нулем
Если левее не будет указываться важной информации, а иногда такое бывает, то и этот «0» можно вычеркнуть. Тогда у нас получается ядро всего из двухзначного числового символа
Пример: Ø равен 7,68. Пишем сначала 8, а затем спереди приписываем 5 и 0. Получаем — XXX058 или просто 58.
Размеры
Узнать, как зависят размеры подшипников от их серий, позволяет таблица размеров подшипников. Она позволяет увязать серию с внешним и внутренним диаметром и шириной.
Размеры подшипников качения. Таблица 1.
| Ширина | Внешний диаметр | Внутренний диаметр | Серия | 
| 13 мм | 55 мм | 30 мм | 106 | 
| 10 мм | 32 мм | 12 мм | 201 | 
| 11 мм | 35 мм | 15 мм | 202 | 
| 12 мм | 42 мм | 17 мм | 203 | 
| 14 мм | 47 мм | 20 мм | 204 | 
| 15 мм | 52 мм | 25 мм | 205 | 
| 16 мм | 62 мм | 30 мм | 206 | 
| 12 мм | 37 мм | 12 мм | 301 | 
| 13 мм | 42 мм | 15 мм | 302 | 
| 14 мм | 47 мм | 17 мм | 303 | 
| 15 мм | 52 мм | 20 мм | 304 | 
| 14 мм | 35 мм | 15 мм | 502 | 
| 16 мм | 40 мм | 17 мм | 503 | 
| 18 мм | 52 мм | 25 мм | 505 | 
| 19 мм | 47 мм | 17 мм | 603 | 
| 14 мм | 40 мм | 17 мм | 703 | 
| 15,5 мм | 47 мм | 17 мм | 803 | 
Это таблица подшипников качения, одна из многих таблиц, описывающих данный вид конструктивных элементов.
Основная цифровая маркировка и схема
Главное, что нужно узнать у продавца, – какая страна изготовила изделия. Дело в том, что принятые нормы и стандарты у российских изготовителей и у зарубежных отличаются. Для первых прописан отечественный знак качества – ГОСТ 3189-89. Он всегда соблюдается, за этим строго следят надзорные службы, так как невыполнение требований производства грозит не только несоответствием заказа (а он может быть и государственный) с итоговым результатом, но и аварийными ситуациями на производстве.
Указанная деталь является одним из очень важных узлов фактически в каждом устройстве, где важны механические вращательные движения. С его деформацией обычно связаны значительные поломки. Поэтому можете быть уверены, что, покупая подшипники с нумерацией, вы полностью можете на нее полагаться.
Сначала будем рассматривать отечественные изделия, так как они более доступны и достаточно надежны, поэтому используются чаще. Выглядят они приблизительно так:
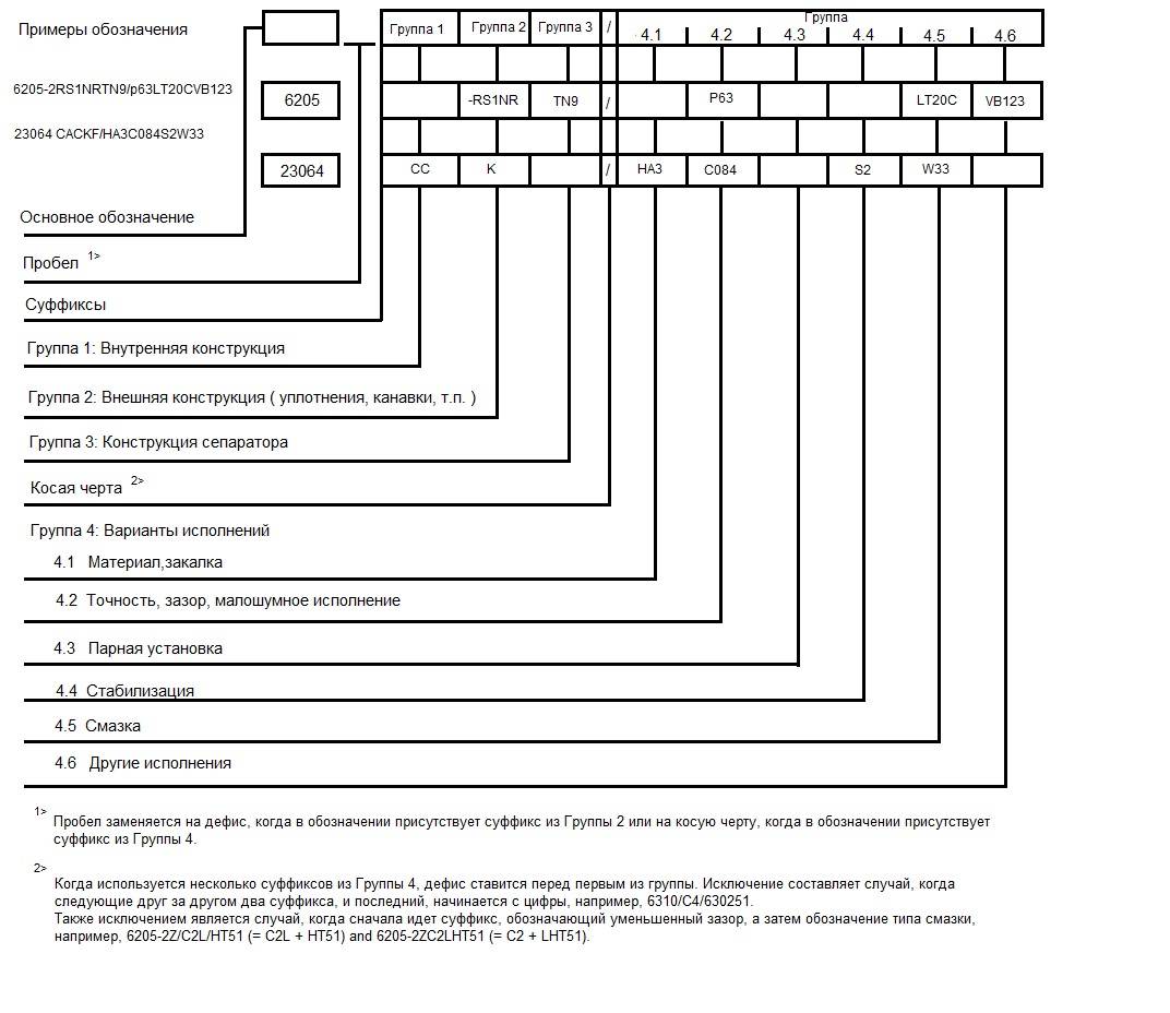
Y – XXXXXX – Z
Любой номер имеет три составляющие:
- Ядро (X). Располагается в центре, представляет собой базу с основными данными о детали. Выражается только цифрами. Шесть знаков обозначают пять показателей. С двух сторон заключается в дефисы.
- Префикс (Y). По названию понятно, что это препозиция, то есть, стоит опознавательный знак в самом начале. Может комбинировать в себе различные знаковые системы. Выражает три взаимосвязанных значения.
- Суффикс (Z). Завершает комбинацию и содержит множество информации. Состоит в основном из букв кириллического алфавита (по российскому ГОСТ), но может уточняться цифрами.
Приведем схему с расшифровкой маркировки подшипников качения (ее ядра)
Х(5) ХХ(4) Х(3) 0Х(2) Х(1)
где под цифрами имеется ввиду:
- диаметр отверстия – о нем более подробно ниже;
- размер серии, то есть габариты – помноженные координаты и их значения;
- тип узла – от 0 до 9, но весь перечень ниже будет представлен в виде таблицы, потому что без нее трудно запомнить эту классификацию;
- конструкция изделия – для этой категории дано очень много кодов, до 99 штук, подробно их перечислять не будем, но укажем, что полностью список находится в документе ГОСТ 3395-89;
- размерная категория – самая начальная цифра отвечает за серию ширин или высот, сильно зависит от радиусов и не всегда может быть проставлена, особенно когда этот показатель нестандартный.
Основные трудности возникают, когда мы говорим о размере внутреннего кольца. Что если он больше 9 мм? Ведь на этот показатель отведена только одна цифра. А что делать, если, напротив, радиус так мал, что помноженный на 2 он не доходит даже до минимальной единицы, чтобы заполнить указанную ячейку номера? Рассмотрим ниже.

Классификация
Одним из признаков, по которому происходит классификация подшипников качения, является форма тел качения. В соответствии с ней подшипники могут быть шариковые и роликовые. Шариковые тела качения, как следует из названия, имеют исключительно шарообразную форму. Роликовые тела качения могут быть цилиндрическими, а также иметь форму бочек или форму конусов.
Следующий признак классификации – направление нагрузки, воспринимаемое подшипником качения. По данному признаку различают подшипники:
- радиальные, которые воспринимают лишь радиальные или в основном радиальные нагрузки;
- радиально-упорные, могущие воспринимать и радиальные, и осевые нагрузки.
Следует отметить, что, регулируемые подшипники не в состоянии функционировать без нагрузки на ось. Упорные способны воспринимать лишь осевые силы. Упорно-радиального типа работают как при осевых, так и при небольших радиальных нагрузках.
Существует также классификация подшипников качения в зависимости от того, из какого количества рядов тел качения они состоят. Они бывают однорядные и двухрядные.
В соответствии с такой характеристикой, как чувствительность к перекосам, выделяют самоустанавливающиеся подшипники. Они способны нормально функционировать даже при возникновении перекоса до 3°.
Система допусков и посадок
Подшипники качения получили широкое распространение. Они производятся на специальных заводах и имеют полную взаимозаменяемость по поверхностям, которые определяются диаметрами колец: D – внешним диаметром внешнего кольца и d – внутренним диаметром внутреннего кольца.
Взаимозаменяемость подшипников качения зависит от требований к точности:
- точность ширины кольца В;
- точность диаметров колец d, D;
- точность поверхностей колец;
- радиальное и осевое биение дорожек качения, определяющее точность вращения;
- точность зазора, который образуется при рабочих параметрах между дорожками качения и телами качения.
Точность сборочных единиц задает ГОСТ. Подшипники качения должны соответствовать требованиям к точности ГОСТ 520–89, согласно которому имеется 5 классов их точности: 0; 6; 5; 4; 2. Большая часть механизмов использует узлы класса точности 0. Узлы классов точности выше нуля используют на высоких скоростях вращения и в ситуациях, требующих высокой точности вращения вала (например, в прецизионных станках). Класс точности указывается перед маркировкой через тире.
Чтобы сохранить взаимозаменяемость подшипников качения, средняя конусность и овальность отверстия и поверхности колец не должны быть больше половины допуска на средние диаметры Dc, dc. Эти параметры вычисляют как среднее арифметическое от максимального и минимального диаметров, которые замерены в 2 крайних сечениях кольца.
Поэтому допуски подшипников качения назначаются на размеры:
- D и d;
- Dc и dc;
- В.
Допуски колец определяются лишь классом точности подшипника и его размерами, независимо от свойств соединения с валом и корпусом. Так достигается уменьшение номенклатуры подшипников. Параметры соединения колец с валом и корпусом определяются путем изменения полей допуска вала и отверстия.
Посадки подшипников качения нужно определять таким образом, чтобы кольцо, которое вращается, сидело с натягом, который исключал бы обкатку и проскальзывание кольца вдоль посадочной поверхности в ходе работы в нагруженном режиме.
Посадки зависят от таких факторов:
- класс точности;
- тип и размер нагрузок;
- вид нагружения.
Нагружение может быть местным, циркуляционным и колебательным.
В случае местного нагружения работает только радиальная нагрузка постоянной величины и направления в единственной точке посадочной поверхности подшипника, передающаяся единственной точке поверхности корпуса или вала.
Кольцо, нагруженное таким образом, нужно устанавливать, чтобы был зазор, а затем постепенно проворачивать кольцо, избегая местной выработки кольца, вала и корпуса.
Если имеет место циркуляционное нагружение, воздействие оказывает только радиальная нагрузка, передаваемая всей окружности дорожки подшипника, и она воспринимается последовательно поверхностью корпуса или вала. Кольцо, которое испытывает циркуляционное нагружение, устанавливают на корпус или вал с натягом.
Когда происходит колебательное нагружение, в действие вступают две различные радиальные нагрузки. Одна из них имеет постоянную величину и направление, а другая – вращающаяся. На ограниченный участок беговых дорожек колец влияет равнодействующая этих нагрузок, передаваясь некоторой части на посадочной поверхности корпуса или вала.
Плюсы и минусы использования
Достоинства и недостатки использования подшипников скольжения связаны преимущественно с конструктивными особенностями и применяемыми материалами. Они проще в исполнении и дешёвы по себестоимости. Кроме этого, можно выделить такие положительные моменты:
- Малые габариты. 
- Разъёмная конструкция не требует разборки других механизмов при ремонте и обслуживании.
- Хорошие показатели при работе в высокоскоростных и тихоходных машинах.
- Прочность при ударе и вибрации.
- Работа в неблагоприятной среде.
Однако в эксплуатации они требуют к себе повышенного внимания. Это выражено в таких условиях:
- Постоянный надзор за смазкой и большой её расход. Высокие требования к качеству.
- Пусковые потери.
- Низкий КПД.
- Высокая стоимость сырья для изготовления.
- Неравномерная выработка комплектующих.
Несмотря на многовековой опыт использования подобных механизмов, принцип облегчения работы и снижение трения действует и сейчас. Применяются более усовершенствованные конструкции и подбираются новейшие материалы для повышения эффективности при меньшем износе узлов. Кроме таблиц для подбора необходимой разновидности подшипника, многие используют онлайновые сервисы.
Обозначение импортных подшипников – есть ли иностранный ГОСТ для маркировки узлов
Если с отечественными изделиями все понятно и каждая компания-производитель обязана придерживаться годами установленных требований по нумерации, то за рубежом каждый изготовитель сам придумывает удобную для него систему. Обычно она менее подробная и детальная, чем в России, а также имеет следующий недостаток – без подробной, а для русского человека переведенной на его родной язык, инструкции ничего не понятно. Можно довериться продавцу, но он сам часто не знает мельчайшие особенности, из которых состоит код.
Как определить серию подшипника – инструкция
Существует четыре основные категории. Особо легкая (цифра 1), легкая (2 или 5), средняя (3 или 6) и тяжелая – 4.
Чтобы определить, к какой из них относится модель, следует найти ядро маркировки, оно находится между двумя тире. Если суффикса или постфикса нет, то номер может стоять одиноким. Есть две ситуации. Если есть слэш, то нужный нам показатель первый слева от него. Если косой черты нет, то он третий.

Как узнать диаметр отверстия – инструкция
Это самые первые (справа) числа ядра.
Если в записи присутствует окончание – 0X, то этот X – число от 1 до 9 в миллиметрах. Если запись – 05X, то значит X – округленное число, но не больше 10 мм.
Знаки 00, 01, 02 и 02 говорят о диапазоне от 10 до 20, код можно перевести в точные значения по предложенной выше таблице. Если после них стоит 9 (т.е. 900 или 901), то снова имело место округление.
При наличии любого двузначного значения следует умножать на 5. Правило с «девяткой» на третьем месте остается уместным и тут.
А если в маркировке есть слэш, то либо это исключение, либо большой диаметр больше 50 сантиметров.
Как по номеру подшипника определить его внешние размеры – инструкция
Это последнее значение ядра. Оно стоит с краю, слева. Это габариты, то есть помноженная ширина и высота. Если внутреннее кольцо остается прежним, то внешнее увеличивается согласно следующей маркировке: 0, 8, 9, 1, 7, 2, 3, 4, 5. Соотношение величин можно определить с помощью таблицы.

Как узнать номер
Легче всего воспользоваться электронными каталогами, содержащими в себе все десятки значений. Нумерацию легче освоить, если предварительно измерить основные параметры – внешний и внутренний радиус, ширину, высоту.
Пример маркировки подшипника иностранной компании NSK
Компания является одним из крупнейших мировых производителей подшипников. В начале 90х в состав вошел британская фирма RHP, что позволило выпускать продукцию сразу двух одноименных брендов. Для различия, как правило, используются, дополнительные обозначения.
В целом, маркировка состоит из 27 символов, которые содержат информацию о технических характеристиках изделия, типах смазки, её количестве, упаковке. Все обозначения можно увидеть в таблице.
| 1 | 2 | 3 | 4 | 5 | 6 | 7 | 8 | 9 | 10 | 11 | 12 | 13 | 14 | 15 | 16 | 17 | 18 | 19 | 20 | 21 | 22 | 23 | 24 | 25 | 26 | 27 | 
| 3 | 2 | 5 | В | – | 2 | R | S | T | N | G | N | Y | R | L | N | 5 | 
Теперь разберемся с обозначениями:
- символы 1-18 – это технические характеристики, размеры, а также конструктивные особенности, которые соответствуют международной классификации. Приведенные в этом примере обозначения указывают на подшипник качения шариковый радиальный сферический с двусторонним уплотнением с сепаратором из полиамида наружным диаметром 52 мм.
- число 19 – указывает бренд. Здесь ячейка пустая – это означает бренд NSK. Буква же R, соответственно, – RHP.
- число 20 – страна-производитель.
- 23-25 – обозначает код вида смазки (подшипники требующие в качестве смазывающих материалов консервант – открытые, относятся к полям 21-22)
- 26 – это количество соответствующей смазки.
- 27 – тип упаковки. В данном примере 5 – это картонная упаковка.

В материале приведены стандарты ГОСТ по расшифровке подшипников, надеемся что данный материал будет полезен в работе.
Габариты устройств качения
Чтобы подобрать подшипник по размеру, нужно узнать точную размерность его главных габаритов: внутреннего (d) и внешнего (D) диаметров, ширины (B) и высоты. Существуют стандартные данные шарикоподшипников. Таблица, в которую они занесены, поможет определить нужный. Характеристики указываются так — dxDxB.
Замер внутреннего диаметра
 
Для упорных механизмов диаметром считается размер внутреннего, неподвижно зафиксированного кольца. ГОСТ разрешает минимальные допуски для них, который изменяется в пределах от 0, 2 до 0, 8 миллиметра. Это зависит от размера детали.
Для дюймовых осей существует погрешность в полмиллиметра.
Внешняя обойма
При её отсутствии этот диаметр нужно измерить по посадочному месту механизма, где установлен подшипник. Такой показатель бывает сферообразным или бомбированным, если внешнее посадочное место имеет сложный профиль.
Для упорных изделий измеряются два показателя:
- Внешний диаметр D1.
- Расстояние до упора D2.
Такие типоразмеры подшипников таблица указывает в виде дробного значения.
Ширина подшипника и тел качения
 
Кроме основных размеров, нужно знать параметры элементов качения. Для определения диаметра шариков в подшипниках таблица потребует, кроме главных размеров, серию ширины. В этом документе отдельным столбцом указывается также вес самого шарика. Так что для измерения его габаритов разбивать подшипник не придётся. Подобные справочники есть и для роликовых компонентов и других тел качения.
Параметры подшипников
Параметры подшипников можно разделить на физические, то есть массогабаритные и динамические, то есть ходовые характеристики. Рассмотрим здесь первичные параметры, необходимые для подбора и замены подшипников, это:
- диаметр подшипника;
- ширина подшипника;
- диаметр вала подшипника.
 
 Подшипники, размеры, параметры
Для подбора аналогов подшипников качения и скольжения, а также в случаях, когда маркировку невозможно установить, важно знать точный диаметр изделий. Внутренний диаметр подшипника соответствует валу вращения, иначе именуется посадочным диаметром
Наружный диаметр подшипника и ширина соответствуют конструктиву корпусного пространства. Наружный ー это диаметр под подшипник. Посадочное отверстие внутреннего кольца подшипника жестко фиксируется на валу во избежание прокручиваний, а наружная обойма может помещаться в корпус детали с зазором.
Массогабаритные параметры зависят от размерной серии подшипника. При одинаковом внутреннем диаметре у подшипников тяжелой серии максимальные ширина и наружный размер. У подшипников средней и легкой серии, соответственно, меньше наружные габариты, рассчитанные на малую статическую нагрузку и более быстрое вращение.
Массогабаритные характеристики также зависят от рядной конструкции подшипников качения: у двухрядных и четырехрядных моделей ширина больше, чем у однорядных, при одинаковом внутреннем и наружном диаметре.
 
 Диаметр подшипников ー таблица
Размеры подшипников качения устанавливаются международными и национальными производственными стандартами. ГОСТ 3478-79 распределяет основные размеры различных типов подшипников качения по размерным сериям от 1 до 9. Для удобства восприятия размеры по национальным/международным стандартам объединяют в сводные таблицы диаметров:
Такие таблицы могут разбиваться по виду (качения/скольжения), типу подшипников (радиальные, радиально-упорные, упорные), устройству (шариковые/роликовые; с односторонним/двухсторонним уплотнением; с канавкой и т.д.), а также по диапазону диаметров вала (1-5, 6-10, 11-20 … мм). Обычно производители указывают исчерпывающий размерный ряд на каждую модель подшипника в описаниях каталогов.
Диаметры подшипников качения не определяются по выработанному изделию, если доступны другие способы уточнения (маркировка, техническая документация), так как продолжительный износ (циркуляционное нагружение) может увеличивать зазоры и уменьшать размер изделия. Особенно это сказывается при неправильной установке подшипника.
 
 Диаметр вала подшипника
Для подбора подшипника без внутреннего кольца необходимо знать точный диаметр вращающегося вала. При конической посадке внутренний диаметр измеряется по меньшей стороне.
Диаметр вала вертикальных упорных опор измеряется по тугому кольцу. Если на вале предусмотрена втулка, то диаметр измеряется внутри нее. При многогранной форме поверхности вала расчет диаметра производится по вписанной окружности.


























































